随机变量
随机变量:只要有随机性,那么就可以随机变量。而随机性就是你能预测所有可能性结果。

比如这道题我们可以预测X的所有结果,那么就是有随机性的。
- X可预测为X={0,1,2,3}
- 那么这两问就可以表示为$P(X<=2),P(X=0)$
它能把文字表达的东西都表示成数学。

$$P(X>5) $$

这道题我们一看并没有跟数字有关的随机性,但是我们可以把某些事件用数字来表示不同的一面。$$P(X=1) $$
定义:设随机试验的样本空间为 $\Omega$,$X = X(\omega)$ 是定义在样本空间 $\Omega$ 上的实值单值函数,称 $X = X(\omega)$ 为随机变量。
一般用大写字母 $X, Y, Z, \dots$ 等表示随机变量,用小写字母 $x, y, z, \dots$ 表示随机变量的取值(实数)。
- 从随机事件到随机变量的概念延伸,使概率论的理论体系从静态向动态、从孤立向系统延伸
- 随机变量是单值函数,不同的随机变量一定对应不同的样本点,随机变量的不同取值两两互斥
- 随即变量X的取值有随机性,试验前可以明确X的取值范围,但不能预知实验后X的具体取值
随机变量的分布函数
分布函数的定义
设 $X$ 是一个随机变量,$x$ 是任意实数,函数
$$F(x) = P\{X \leq x\}, \quad -\infty < x < +\infty $$
称为 $X$ 的分布函数。它表示随机变量 $X$ 的取值落在实数 $x$ 左侧的概率。
- 分布函数是一个普普通通的函数,自变量为x,和高数中研究的函数一样。
- X的分布函数F(x)中包含了X所有取值概率的信息
- 所有的随机变量X都有分布函数F(x)
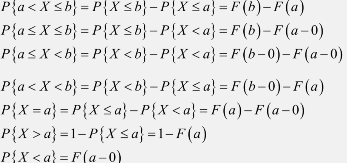
利用分布函数计算事件概率
已知$X$的分布函数$F(x)$,有:
- $P\{X<=a\}=F(a)$
- $P\{X<a\}=F(a-0)$你可以理解为a-0是极限lim

分布函数的基本性质(充要条件)
- 非负性:$0<=F(x)<=1$
- 单调性:$F(x)是x的单调不减函数,即对\forall{x_1}<x_2,有F(x_1)<=F(x_2)$
- 规范性:$F(-\infty) = \lim_{x \to -\infty}F(x) = 0$,$F(+\infty) = \lim_{x \to +\infty} F(x) = 1$;
- 右连续性:$F(x_0) = F(x_0 + 0)$。
例题

- 结论:$a>=0,b>=0,a+b=1$
- 结论:$a>0,\forall{b}\in{R}$
- F(x)G(x)恒为分布函数
- 这是满足所有可能性的结论,其他的可能只能满足特定。
求解的方式就是想办法满足上面的充要条件
说些什么吧!